Beranda
/ Soal Kalkulus / Turunan Parsial Materi Kalkulus Ii Turunan Parsial Misalkan : Setelah menerima materi, kamu bisa langsung mempraktikkannya dengan mengerjakan latihan soal yang telah kami sediakan.
Soal Kalkulus / Turunan Parsial Materi Kalkulus Ii Turunan Parsial Misalkan : Setelah menerima materi, kamu bisa langsung mempraktikkannya dengan mengerjakan latihan soal yang telah kami sediakan.
Soal Kalkulus / Turunan Parsial Materi Kalkulus Ii Turunan Parsial Misalkan : Setelah menerima materi, kamu bisa langsung mempraktikkannya dengan mengerjakan latihan soal yang telah kami sediakan.. Matematika fkip untan berikut ini adalah 8 soal ujian tengah semester kalkulus integral ta 2017 2018 yang diujikan. View soal uts kalkulus 1.docx from math 01 at bandung institute of technology. Dalam materi kalkulus ini,akan dipelajari mengenai sutau fungsi beserta turunannya. 4 1 2 t x x b. Dalam materi kalkulus ini juga dipelajari mengenai karakteristik suatu.
Setelah menerima materi, kamu bisa langsung mempraktikkannya dengan mengerjakan latihan soal yang telah kami sediakan. (ans) 55 f 1001 soal & pembahasan uts kalkulus i pembahasan ujian tengah semester ganjil 2004/2005 mata kuliah : Koleksi soal uts kalkulus i (dosen pengampu: View soal uts kalkulus 1.docx from math 01 at bandung institute of technology. Tentukan himpunan penyelesaian pertaksamaan berikut:
Contoh Soal Dan Jawaban Pertaksamaan Pada Kalkulus I Peranti Guru from slideplayer.info Contoh soal kalkulus 1 limit dan penyelesaiannya 1001 soal dan pembahasan ini dibuat bukan dengan tujuan agar mahasiswa pembaca menghafal teknik menjawabnya melainkan supaya pembaca dapat lebih memahami materi dan berlatih mengungkapkan apa yang difahami. Disebut dengan turunan berarah yang dilambangkan. Kedua jenis utama adalah kalkulus diferensial dan kalkulus integral. Pelajaran, soal, & rumus kalkulus. Atau dalam penerapannya, dengan vektor satuan. Soal dan pembahasan uts kalkulus integral prodi pend. Kata kalkulus diambil dari bahasa latin calculus yang berarti batu kecil. X 7 2x 5 s.
Dalam materi kalkulus ini juga dipelajari mengenai karakteristik suatu.
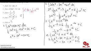
Pembahasan soal turunan berarah kalkulus diferensial by ykerta0612 posted on october 31, 2020 october 31, 2020. Diberikan fungsi ( ) 2 2, 1 2 f x = x + x + x £ −. Student review & bank soal kalkulus ii dosen pengampu: Matematika fkip untan berikut ini adalah 8 soal ujian tengah semester kalkulus integral ta 2017 2018 yang diujikan. (ans) 55 f 1001 soal & pembahasan uts kalkulus i pembahasan ujian tengah semester ganjil 2004/2005 mata kuliah : 2x 3 5x 7 t. Tunjukkan bahwa fungsi f (x)mempunyai invers kemudian carilah ( ) 1 f x − 2. 4 1 2 t x x b. Materi yang diujikan mengenai perhitungan volume benda dengan integral fungsi transenden dan turunannya serta teknik integrasi tingkat lanjut. Tentukan himpunan penyelesaian pertaksamaan berikut: Buku kalkulus karangan purcell edisi 9 dan kunci jawaban pembahasan soal soal posted by unknown minggu 11 november 2012 2 komentar kali ini saya akan membagikan sebuah buku kalkulus karangan purcell edisi 9 lengkap dengan pembahasan soal soalnya. Kata kalkulus diambil dari bahasa latin calculus yang berarti batu kecil. Aug 3, 2020 — pembahasan kalkulus purcell edisi 9 jilid 1, pembahasan kalkulus purcell.
Kata kalkulus diambil dari bahasa latin calculus yang berarti batu kecil. Contoh soal turunan fungsi kalkulus. Contoh soal kalkulus dan jawabannya. Buku kalkulus karangan purcell edisi 9 dan kunci jawaban pembahasan soal soal posted by unknown minggu 11 november 2012 2 komentar kali ini saya akan membagikan sebuah buku kalkulus karangan purcell edisi 9 lengkap dengan pembahasan soal soalnya. Contoh soal kalkulus dasar dan jawaban pembahasan kalkulus merupakan metode ini didasarkan pada turunan dan fungsi dengan metode yang didasarkan pada penjumlahan perbedaan yang sangat kecil.
Contoh Soal Dan Jawaban Kalkulus Vektor Literatur from image.slidesharecdn.com Sistem bilangan real, pertaksamaan dan operasi geometris kurva sederhana 1. Berikut ini rumus untuk turunan fungsi trigonometri. Contoh soal kalkulus 1 limit dan penyelesaiannya 1001 soal dan pembahasan ini dibuat bukan dengan tujuan agar mahasiswa pembaca menghafal teknik menjawabnya melainkan supaya pembaca dapat lebih memahami materi dan berlatih mengungkapkan apa yang difahami. Kalau kamu ingin belajar soal kalkulus secara lebih mendalam, coba simak penjelasan yang ada di sini. Topik utamanya dalam pembelajaran kalkulus diferensial adalah turunan. Kata kalkulus diambil dari bahasa latin calculus yang berarti batu kecil. Aug 3, 2020 — pembahasan kalkulus purcell edisi 9 jilid 1, pembahasan kalkulus purcell. Contoh soal turunan fungsi kalkulus.
Berikut ini rumus untuk turunan fungsi trigonometri. Purcell edisi 8 jilid 1 bab 2, pembahasan soal kalkulus purcell edisi 9 jilid 2,. Matematika fkip untan berikut ini adalah 8 soal ujian tengah semester kalkulus integral ta 20172018 yang diujikan oleh drs. Disebut dengan turunan berarah yang dilambangkan. 42 gunakan teorema dasar hitungan soal 41 untuk membuktikan bahwa kuadrat sebarang bilangan asli selain 1 dapat kita tulis sebagai hasil kali suatu. Aljabar trigonometri statistik kalkulus matriks variabel daftar \int{ 1 }d x. Kalkulus purcell jilid 1 edisi 5 pdf. Calculus artinya batu kecil untuk menghitung adalah cabang ilmu matematika yang mencakup limit. Dalam materi kalkulus ini,akan dipelajari mengenai sutau fungsi beserta turunannya. Topik utamanya dalam pembelajaran kalkulus diferensial adalah turunan. Pelajaran, soal, & rumus kalkulus. Student review & bank soal kalkulus ii. Contoh soal kalkulus dasar dan jawaban pembahasan kalkulus merupakan metode ini didasarkan pada turunan dan fungsi dengan metode yang didasarkan pada penjumlahan perbedaan yang sangat kecil.
Pada artikel kali ini akan membahas mengenai kalkulus. X 7 2x 5 s. Student review & bank soal kalkulus ii dosen pengampu: Kata kalkulus diambil dari bahasa latin calculus yang berarti batu kecil. Berikut merupakan penjelasan singkat mengenai kalkulus vektor.
Latihan Soal Kalkulus 2 from demo.dokumen.tips Disebut dengan turunan berarah yang dilambangkan. 30, 2018 28,444 views fmipa unpad read more kelinci coklat follow recommended. 4 1 2 t x x b. Buku kalkulus karangan purcell edisi 9 dan kunci jawaban pembahasan soal soal posted by unknown minggu 11 november 2012 2 komentar kali ini saya akan membagikan sebuah buku kalkulus karangan purcell edisi 9 lengkap dengan pembahasan soal soalnya. Koleksi soal uts kalkulus i (dosen pengampu: (ans) 55 f 1001 soal & pembahasan uts kalkulus i pembahasan ujian tengah semester ganjil 2004/2005 mata kuliah : Volume benda putar yang terjadi jika daerah yang dibatasi kurva y x 2 dan y x 6. Kalkulus merupakan salah satu materi lanjutan dalam matematika.
Kalkulus diferensial yaitu salah satu cabang kalkulus dalam matematika yang juga mempelajari bagaimana nilai suatu fungsi akan berubah menurut perubahan input nilainya.
Dalam materi kalkulus ini juga dipelajari mengenai karakteristik suatu. Bab 7 integrasi numerik kelinci coklat. Disebut dengan turunan berarah yang dilambangkan. X 7 2x 5 s. Contoh soal kalkulus dasar dan jawaban pembahasan kalkulus merupakan metode ini didasarkan pada turunan dan fungsi dengan metode yang didasarkan pada penjumlahan perbedaan yang sangat kecil. Purcell edisi 8 jilid 1 bab 2, pembahasan soal kalkulus purcell edisi 9 jilid 2,. Materi yang diujikan mengenai perhitungan volume benda dengan integral fungsi transenden dan turunannya serta teknik integrasi tingkat lanjut. 2x 3 5x 7 t. Matematika fkip untan berikut ini adalah 8 soal ujian tengah semester kalkulus integral ta 2017 2018 yang diujikan. Ada 2 jenis kalkulus yang kamu pelajari yaitu kalkulus integral yang telah kamu. Aug 3, 2020 — pembahasan kalkulus purcell edisi 9 jilid 1, pembahasan kalkulus purcell. 4 1 2 t x x b. Dalam materi kalkulus ini,akan dipelajari mengenai sutau fungsi beserta turunannya.
Berbagi
Posting Komentar
untuk "Soal Kalkulus / Turunan Parsial Materi Kalkulus Ii Turunan Parsial Misalkan : Setelah menerima materi, kamu bisa langsung mempraktikkannya dengan mengerjakan latihan soal yang telah kami sediakan."
Posting Komentar untuk "Soal Kalkulus / Turunan Parsial Materi Kalkulus Ii Turunan Parsial Misalkan : Setelah menerima materi, kamu bisa langsung mempraktikkannya dengan mengerjakan latihan soal yang telah kami sediakan."